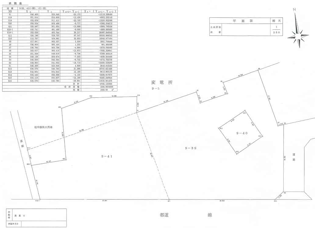
測量のデータによる敷地図作成 Edit

sokuryou.jpg

測量屋さんからもらったデータ
もとに敷地図を作成してみましょう。
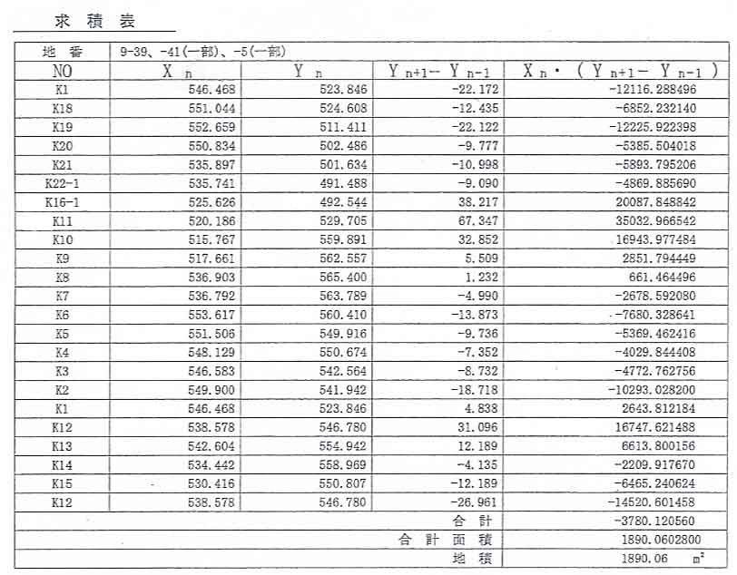
左上に求積表があります。

kyusekihyou.jpg

XnとYn のデータがもとになります。

Exceldata.jpg

エクセル等の表計算ソフトで作成
←はエクセルで書いたもの。
EX-hozon.jpg
メニュー>ファイル『別名で保存...』で
タブ区切りテキストに保存。名前は『求積表.txt』とでもしときます。


リロード   新規 下位ページ作成 編集 凍結 差分 添付 コピー 名前変更   ホーム 一覧 検索 最終更新 バックアップ リンク元   ヘルプ   最終更新のRSS